

Deszczowa sobota nie zachęcała nas do wieczornych spacerów. Ale na spotkanie w naszym astronomicznym laboratorium nie mogliśmy się doczekać, jak każdego tygodnia. Już najwyższy czas zaplanować coś niezwykłego na nadchodzące zimowe ferie i sięgnąć trochę głębiej w tajniki wiedzy astronomicznej.
Dla wszystkich wspaniałą nowiną było to, że
kalendarz astronomiczny poszedł do druku. W tym roku wydane będzie 50 egzemplarzy. To dwa razy więcej niż w 2011. Tym samym nie tylko członkowie będą go mieli w swoich gabinetach, ale znacznie więcej sympatyków i instytucji w Polsce i na świecie. Czekaliśmy z jego wydaniem do stycznia z dwóch powodów. Ceny na ryku już nieco spadły dzięki temu możemy za te same pieniądze wydać ich znacznie więcej i dotrzeć do większego kręgu ludzi. W tym roku ponad połowę nakładu finansuje nasze Centrum Kultury, więc na środki trzeba też było zaczekać do nowego roku. Wszystko nabrało właściwego kształtu i efekty naszej pracy są już tuż tuż. Nasi znajomi w sieci, miłośnicy i zawodowi astronomowie bardzo dobrze oceniają takie wydanie. Tak naprawdę przyczynili się oni wszyscy do jego powstania. Przecież zdjęcia pochodzą z NASA i ESO i od członków Sekcji, efemerydy w dużej części przygotował dr Ściężor i Marek Substyk. Jeszcze tylko marzy się, by większa liczba pasjonatów dostała go do ręki. Jeszcze nie możemy go sprzedawać, ale taki kanał dystrybucji byłby najlepszy. W sumie niewielka kwota rozwiązuje sprawę, ale może za rok stanie się już inaczej.
Na ferie planujemy wyjechać na wycieczkę do Wrocławskiego Planetarium i Obserwatorium. To byłaby wspaniała wyprawa. Przymierzaliśmy się do tego już od jakiegoś czasu. Zawsze coś przeszkadzało, ale tym razem trzeba się uprzeć i wreszcie tego dokonać. Planetarium jest bardzo nowoczesne i mieści 25 widzów. A kopuła obserwatorium mieści niezwykły refraktor. Oczarujemy się ta magią znowu i starczy może na jakiś czas deszczowych nocy.
schemat zaćmienia Księżyca
Astronomia jest bardzo matematyczna. O tym gdzie co się znajduje wiemy dzięki złożonym odwzorowaniom sfery niebieskiej na różnego rodzaju płaszczyzny. Daje nam to możliwości wykonania licznych pomiarów i obliczeń. Dlatego zgłębiliśmy tajemnice siatki geograficznej i elementów sferycznych.
Kiedy uczyliśmy się o szerokości i długości geograficznej rzadko, albo wręcz nigdy nie zaglądaliśmy w szczegóły tego problemu, ale problem jest i to zasadniczy. Ziemia bowiem nie jest kulą, nie jest nawet elipsoidą prostą. Kiedy zgłębiliśmy temat, a pomogło nam w tym nowe wydanie Ziemi i Wszechświat autorstwa Jerzy M. Kreinera. Okazuje się bowiem, że Montt Everest nie jest najwyższym obiektem terenowym na Ziemi. Zbliżony do elipsoidy kształt Ziemi powoduje, że najwyżej położonym obiektem jest szczyt krateru wulkanu Cotopaxi (5897 m .n.p.m.). znajduje się on o 1781 metrów dalej o geometrycznego środka Ziemi. Tym samym warto pamiętać o dwóch zasadniczych sposobach przybliżania kształtu ziemi –
geoidzie i
elipsoidzie ziemskiej. Idąc dalej tym wątkiem należy pamiętać, że szerokość geograficzna jest wyznaczana przez kąt między płaszczyzną równika a prostą tworzoną przez lokalny pion. Tym samym wierzchołek tego kąta nie znajdzie się w geometrycznym środku Ziemi. To zupełnie odmienna sytuacja w porównaniu ze sferą niebieską. Ta jest powierzchnią kuli. Bo jest czysto matematyczna.
Te pokazane różnice między geometrią sferyczną a opisem rzeczywistej powierzchni Ziemi daje nam wyobrażenie z jakimi problemami przychodzi się zmierzać astronomii.
Ciekawostka jest też powstanie
południka zerowego. Wszak południk zerowy to tylko miejsce co do którego umówiliśmy się, że tam jest. Przed 1884 rokiem było ich co najmniej trzy. Ale dzięki temu, że
Greenwich wydawało liczne tabele pomocne w nawigacji, postanowiono na Międzynarodowej Konferencji Południkowej, że od tego momentu południk 0 przechodzi przez angielskie obserwatorium. I tak historia nauki przeplata się z naszą współczesną astronomią. Jak widać jedna nie może żyć bez drugiej.
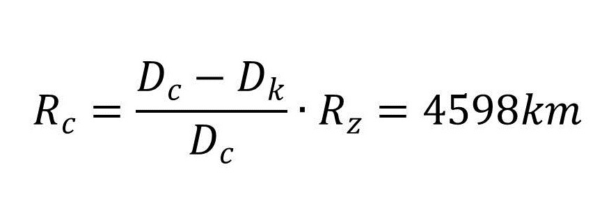
Jak by się więc mogło obyć bez próby matematycznego zgłębienia jakiegoś problemu? Zajęliśmy się obliczeniem wielkości cienia ziemi przy zaćmieniu Księżyca. Liczył się sposób podejścia do problemu. W szkole często zadania są tak ułożone, że w ich treści zawarte są wszystkie dane, ale w życiu tak nie jest. Nasi obliczeniowcy z Karolem na czele (który notabene brał udział w konkursie przedmiotowym z matematyki i należy do jednych z najzdolniejszych uczniów w tej materii) podjął się próby z pozytywnym skutkiem. Liczby są wielkie i liczenie wymaga uwagi. Do tego wynik trzeba skutecznie zinterpretować. Co dla niektórych było sporym szokiem. Ale liczby nie kłamią. Średnica cienia w uproszczonym modelu wyniosła nieco ponad 700km więcej niż średnica Ziemi. W drugim podejściu przyjęliśmy, że Słońce, tak jak w rzeczywistości nie jest punktowym źródłem światła. I cień ziemi jest nieco inny.
Proporcje w układzie Ziemia-Słońce
stąd obliczenie średnicy cienia na wysokości orbity Księżyca to już formalność:
Średnica cienia Ziemi na odległości Księżyca
Gdzie:
R
z-"promień Ziemi"
R
k-"promień Księżyca"
D
z-"odległość Ziemi od Słońca"
D
k-"średnia odległość Księżyca od Ziemi"
Co daje średnio czas trwania zaćmienia 1 godzinę 14 minut.
Są programy, które już teraz te obliczenia zrobią za nas, ale nie pozwolą zgłębić problemu. Trzeba się z nim zmierzyć samemu. A przyjemność drążenia go zostanie po naszej stronie.
Nasze szeregi wzmocnił kolejny pasjonata - Michał. W kolejce stoi Koleżanka, ale to już inna historia.
Pan Stefan jak zwykle wyprzedził wszystkich i wykonał pierwsze w tym roku badanie w ramach projektu Globe at Night. Tym samym mamy na mapie wyników badań pierwszą kropkę na
mapie. Jakość wyniku nie zachwyca. Miejmy nadzieję, że takie badania przyniosą wreszcie wynik w postaci konkretnych działań ze strony ludzi odpowiedzialnych za inwestycje na naszym terenie. A nadchodzącym tygodniu może nastąpić poprawa pogody, mróz i śnieg da nam szansę na zbadanie nieba w różnych miejscach i okolicach naszego Żagania.
Przeczytaj więcej: