
Od II wieku naszej ery, dzięki Klaudiuszowi Ptolomeuszowi, rozpoczęło się w astronomii mierzenie jasności gwiazd. Stworzył on miarę do mierzenia tej właściwości świecących obiektów na niebie. Przy czym podzielił on wszystkie widoczne gwiazdy na 6 grup od 1 magnitudo do 6. Wartość jeden dostały najjaśniejsze gwiazdy, a sześć najsłabsze. Nie była to jednak precyzyjna metoda. rozwój nauki i technologii zmienił wszystko, i to stało się tematem przewodnim naszego spotkania, które podsumowało marcowe pomiary LP na terenie Żagania.
Miara Magnitudo nie jest jednostką a jedynie miarą wielkości gwiazdowych
Pomiary wyciągnęliśmy z bazy danych projektu. Wielu członków sekcji zrobiło kilkakrotne pomiary dla uzyskania większej precyzji oceny stanu zanieczyszczenia nieba sztucznym światłem. Stworzyliśmy z tych danych mapę LP i wyznaczyliśmy najlepsze miejsca do obserwacji gwieździstego nieba na terenie i peryferiach miasta. Jak się można było spodziewać centrum miasta nie tworzy nawet minimalnie przyzwoitych warunków do obserwacji, poza najjaśniejszymi planetami. Ościenne tereny miasta tez nie stanowią jednolitej struktury, ale generalnie nie jest tam już tak źle. Najlepszym miejscem pod względem widoczności i zasięgu gwiazdowego okazał się teren przyległy do Muzeum na ulicy Lotników Alianckich.
Nie był to jednak jedyny element spotkania, bo miara jasności obserwowanej jest jedną z najważniejszych miar jakie przychodzi opanować miłośnikowi astronomii. Dzisiaj jest ona już ściśle sprecyzowana i warto wiedzieć jak opisuję się ją wzorami matematycznymi i jakim pomiarom fizycznym ona odpowiada. Jest bowiem związana z ilością energii świetlnej jaka dociera do naszego oka, a ściśle od przyrządów jakimi dokonujemy pomiaru.
Magnitudo - wartość Const
Gdzie
I jest ilością światła w luksach,
m – gwiazda jaśniejsza,
m+1 gwiazda ciemniejsza o jedną magnitudo.
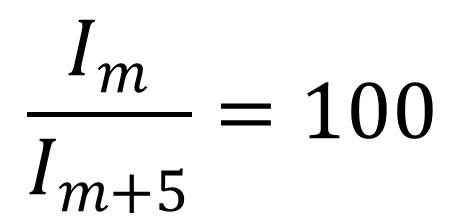
Drugie założenie tej miary to:
różnica jasności o pięć wielkości gwiazdowych daje różnicę 100 razy w ilości docierającej energii do naszego oka
Stąd mamy, że gwiazda o jasności 1 magnitudo jest 100 razy jaśniejsza od gwiazdy o jasności 6 magnitudo. Dużo? Zaraz podamy kilka ciekawych przykładów. Słońce ma jasność -26,8mag, Księżyc -12,7mag, a Syriusz (najjaśniejsza gwiazda naszego nieba) -1,45mag. Wszystkie te ciała mają jasność minus czyli są jaśniejsze na tyle, że zabrakło tej skali w części dodatniej i trzeba ją było wydłużyć na część ujemną. Widzimy tu, że Syriusz, mimo, że jest znaną gwiazdą już od niepamiętnych czasów, to nie została poprawnie określona jej jasność. Być może dlatego, że robiona to na oko. W dobie fotometrów dostępne są bardzo dokładne wartości tych danych.
Jak w takim razie różnią się dwie gwiazdy o jasnościach odległych o 1 magnitudo?
Aby to obliczyć musimy poznać wynik tego działania:
2,512 razy różnią dwie gwiazdy o różnicy jasności 1 magnitudo
Widzimy, że nie jest to liczba wymierna, ale przyjęta tu dokładność jest wystarczająca do większości pomiarów. W dobie egzoplanet ważniejsze jest mierzenie zmian jasności na poziomie tysięcznych części magnitudo.
Na koniec jeszcze jedna informacja. Miara jasności magnitudo jest miara logarytmiczną. Wyraża się ją wzorem
Pagsona:
Miara magnitudo jest miar alogarytmiczną
Podsumowując dwie gwiazdy o różnicy jasności 1 magnitudo różnią się jasnością około 2,5 razy. A gdybyśmy do konali pomiaru natężenia oświetlenia w luksach to przeliczenie tej wartości na miarę jasności magnitudo należy wykonać tak:
Wyznaczenie wielkości gwiazdowej z fotometrycznych pomiarów empirycznych
Jest to względny sposób oceny jasności gwiazd. Nie uwzględnia on ani odległości do gwiazdy, ani rzeczywistej ilości energii emitowanej przez to ciało. Gdybyśmy te czynniki uwzględnili otrzymalibyśmy jasność bezwzględną. A stąd już blisko do miary w postaci wielkości absolutnej, która mierzy jasność gwiazdy z odległości 10 parseków, a ciał odbijających światło – planety – z odległości 1AU.
Mapa Żagania projekt Globe at Night marzec 2012r.Karol swoim komputerowym kunsztem opracował roboczą wersję mapy LP Żagania. Z niej powstała mapa końcowa. To wynik pracy całego zespołu biorącego udział w projekcie od zbierania danych pomiarowych, przez składanie raportów po ich ostateczne opracowanie. Te działania mają znacznie szersze znaczenie niż zdaje się to na pierwszy rzut oka. Tego dnia i w niedzielę obchodzimy dni ziemi. 40 miast z Polski i wiele na świecie, wyłącza na godzinę oświetlenie. W dużej części symbolicznie. To rodzaj manifestacji, że rozumiemy iż problem istnieje. Ale czy naprawdę jesteśmy wstanie zrobić coś więcej niż tylko taką manifestację? To proste. Jak w wierszyku z dzieciństwa o pstryczku elektryczku: „Pstryk i światło ….”.
Czekają nas jeszcze przygotowania do VT2012, czyli obserwacji i pomiarów w czasie tranzytu Wenus. Przedsięwzięcie ogólnoświatowe. Zostały już tylko dwa miesiące. I tylko ta pogoda, nie taka jak na Hawajach czy Atacama. Ale będziemy gotowi. Już teraz warto zapoznać się z wieloma opracowaniami na ten temat. Pokazują one jak ma to zjawisko wielkie znaczenie historyczne. To naprawdę fantastyczna przygoda.
Były to więc zajęcia poświęcone w części astronomii teoretycznej. Ale kiedy ma się do czynienia z liczbami i obliczeniami frajda z Uranii jest nie mniej miesza. Tym bardziej, że dane zebraliśmy sami. A te kilka wzorów nikogo nie odstraszą.
Ciekawostka:
Najjaśniejszy obiekt na niebie – Słońce – ma jasność -26,8mag, najsłabszy widziany przez największy teleskop świata ok. +31mag. Różnica jasności to około 50 wielkości gwiazdowych. Stąd natężenie światła od Słońca jest 1020 razy większe od tego obserwowanego przez nas od najsłabszych gwiazd (sto trylionów).
Przeczytaj więcej: